Crystal Structure Summary

 

DETAILS

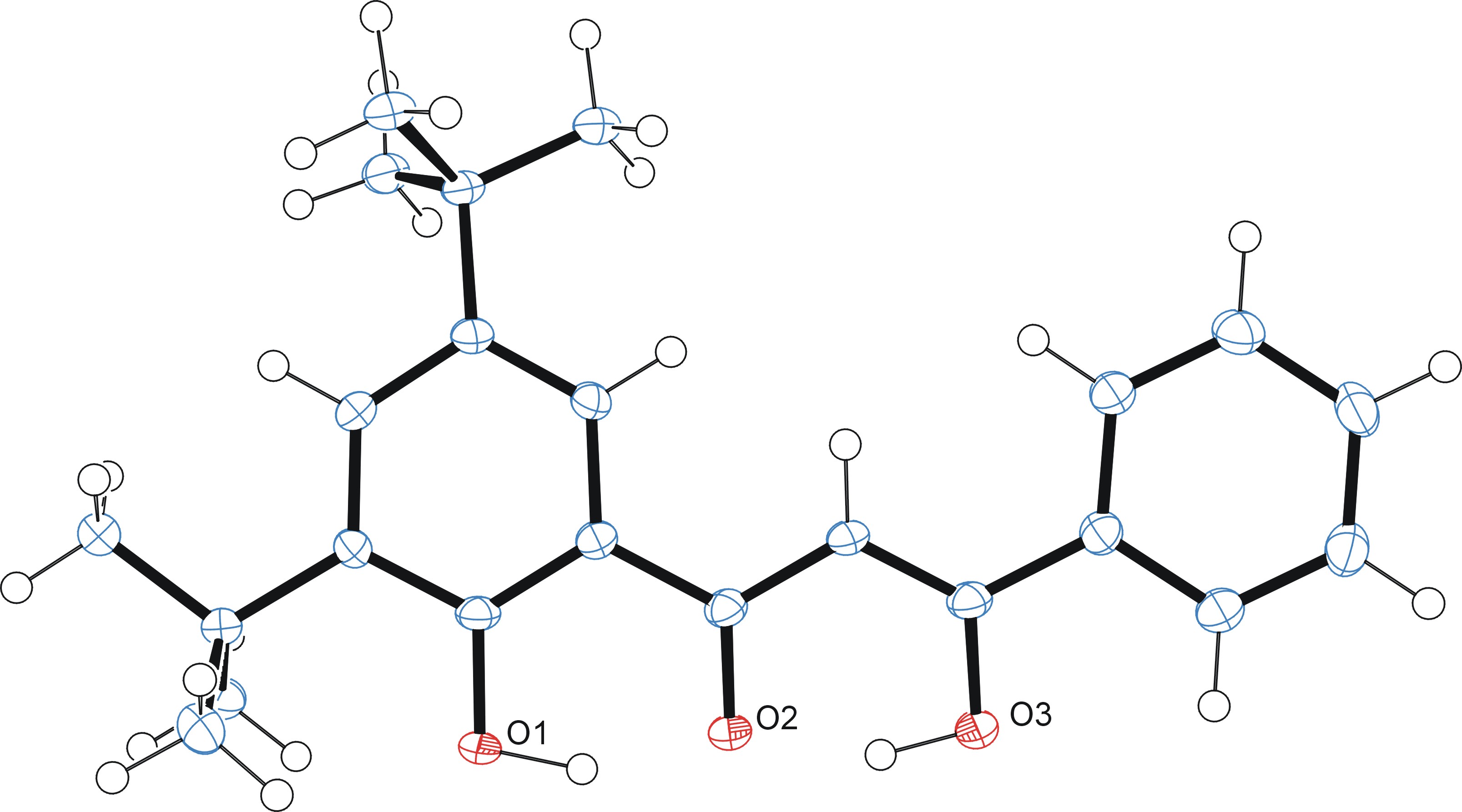
ORTEP

PACKAGE

JSMOL © Bob Hanson

sample ID: 092019_phenylligand

 

© 2014 Werner Kaminsky 

University of Washington, Chemistry Department Crystallography