Crystal Structure Summary

 

DETAILS

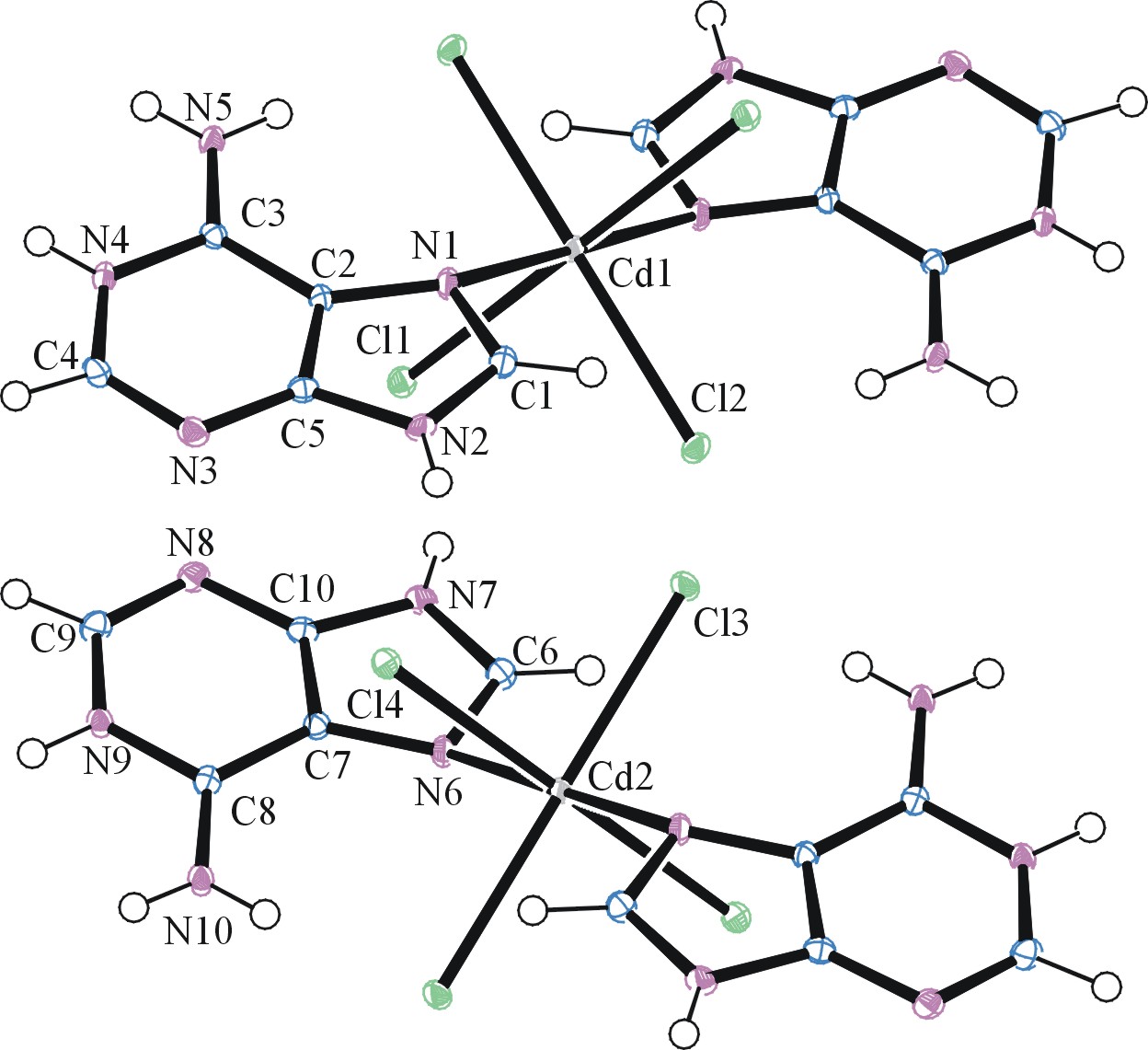
ORTEP

PACKAGE

JSMOL © Bob Hanson

sample ID: Helmi_S42

 

© 2022 Werner Kaminsky 

University of Washington, Chemistry Department Crystallography