Crystal Structure Summary

 

DETAILS

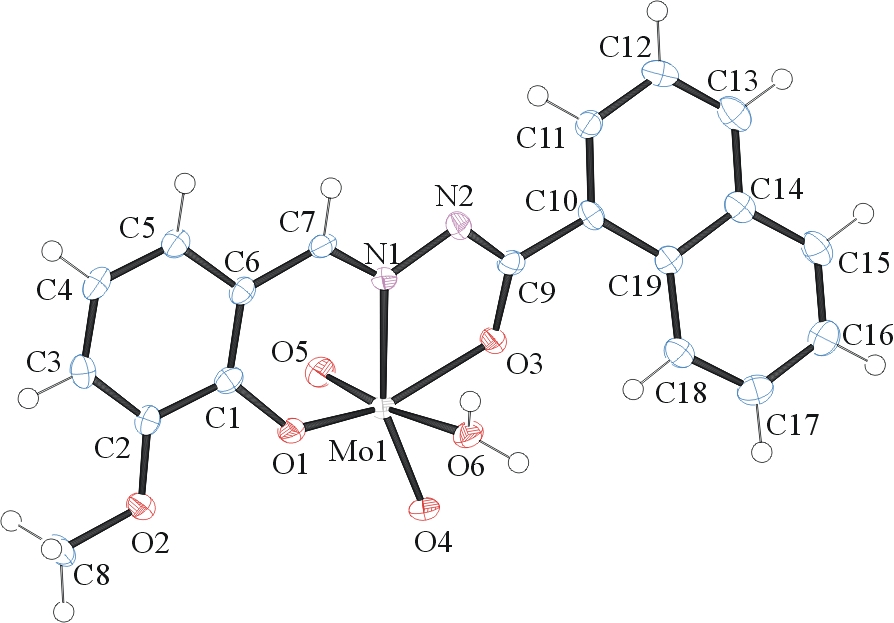
ORTEP

PACKAGE

JSMOL © Bob Hanson

sample ID: SU_33

 

© 2016 Werner Kaminsky 

University of Washington, Chemistry Department Crystallography