Crystal Structure Summary

 

DETAILS

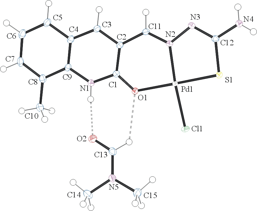
ORTEP

PACKAGE

JSMOL © Bob Hanson

sample ID: 8MODT

 

© 2018 Werner Kaminsky 

University of Washington, Chemistry Department Crystallography