Crystal Structure Summary

 

DETAILS

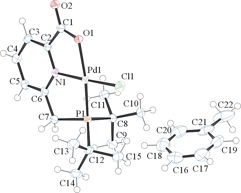
ORTEP

PACKAGE

JSMOL © Bob Hanson

sample ID: kas_II_46

 

© 2015 Werner Kaminsky 

University of Washington, Chemistry Department Crystallography