Crystal Structure Summary

 

DETAILS

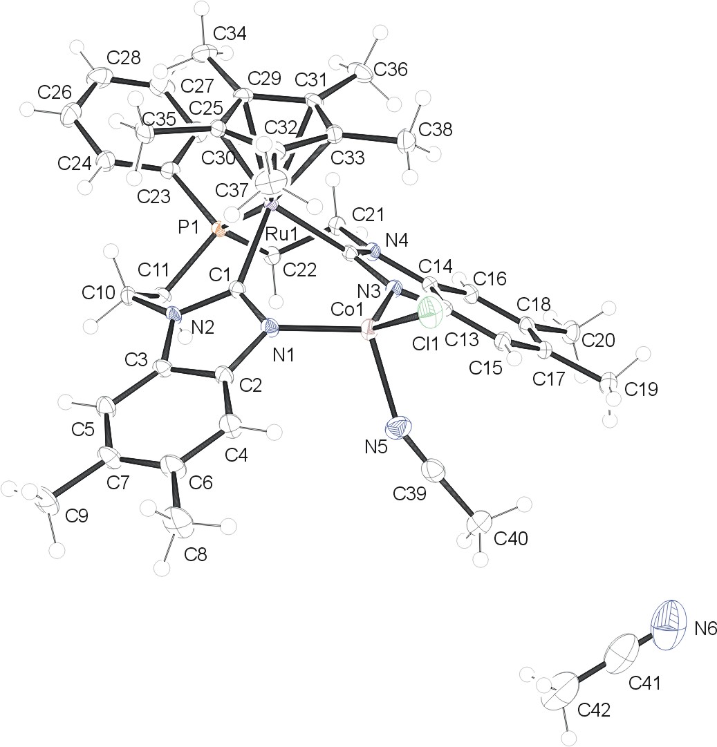
ORTEP

PACKAGE

JSMOL © Bob Hanson

sample ID: sef1_139

 

© 2023 Werner Kaminsky 

University of Washington, Chemistry Department Crystallography